碳基材料作为最重要的超级电容器电极材料之一,已经引起了研究人员的广泛关注。目前,发展和制备出一维碳复合中空纳米材料以进一步改善超级电容器的性能是非常需要的,但仍然存在很大挑战。在这里,他们报道了一种有效的策略用于合成空心颗粒组成的氮掺杂碳纳米纤维(HPCNFs-N)。通过嵌入超细沸石咪唑骨架(ZIF-8)纳米颗粒到聚丙烯腈电纺(PAN)中,将制备的复合纳米纤维进行碳化处理,最终获得相互交联的氮掺杂碳空心纳米颗粒组成的次级多孔纳米纤维。由于它独特结构和理想的化学组成,如此衍生的HPCNFs-N作为超级电容器电极材料,表现出显著增强的电化学性能,在各种电流密度下,其比电容较大,能量/功率密度较高,且循环10000圈后,其较高的电容性能仍能保持。

Figure 1.合成空心颗粒组成的氮掺杂碳纤维(HPCNFs-N)的原理示意图。

Figure 2.PAN/ZIF-8复合纳米纤维的FESEM和TEM图。

Figure 3.(a-c)HPCNFs-N样品的俯视FESEM图;(d)图(c)中选区的放大FESEM图;(e,f)TEM和(g)HRTEM图;(h-k)元素分布图。

Figure 4. HPCNFs-N和对照样品的(a)XRD图和(b)Raman图谱;(c)电子能量损失谱;(d)HPCNFs-N样品中的N 1s XPS图谱。

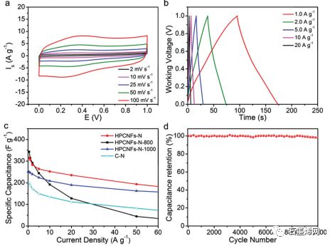
Figure 5.(a)HPCNFs-N样品在不同扫速下的CV曲线;(b)在不同电流密度下的恒流充放电曲线;(c)所制得样品在多个电流密度下的比电容值;(d)HPCNFs-N装置在5 A g-1电流密度下测试的循环稳定性。
该研究工作于2017年发表在Energy Environmental Science上。
转载自中国科技网http://www.stdaily.com/zhuanti01/smx/2018-02/08/content_635929.shtml